Lompat ke konten Lompat ke sidebar Lompat ke footer

Contoh Jurnal Akuntansi Sektor Publik / Contoh Judul Skripsi Tentang Rumah Sakit Akuntansi Sektor Publik Lasopaword : Berikut ini adalah contoh artikel jurnal penelitian akuntasi keuangan yang merupakan kumpulan file dari berbagi sumber jurnal nasional tentang contoh skripsi akuntansi sektor publik yang bisa bapakibu gunakan dan diunduh secara gratis dengan menekan tombol download biru dibawah ini.

contoh soal akuntansi sektor publik 1. 3) standar pemeriksaan keuangan negara. contoh kasus akuntansi basis akrual di pemda. Agar anda lebih tahu mengenai pengertian, peran, tugas, dan jenis dari akuntan publik, mari simak ulasan lengkapnya berikut ini. Standar nomenklatur memandu proses perencanaan dan pertanggungjawaban yang terkait dengan pengkodean aktivitas public atau transaksi publik yang terjadi, serta berbagai barang dan jasa yang telah dihasilkan.

contoh sektor publik dan sektor swasta lengkap pengertian akuntansi sektor publik dan karakteristik. Jurnal Penelitian Akuntansi Sektor Publik Terbaru Jawabanku Id
Jurnal Penelitian Akuntansi Sektor Publik Terbaru Jawabanku Id from imgv2-1-f.scribdassets.com
Tanya jawab akuntansi sektor publik. Test formatif kegiatan belajar iii 88. Doc) makalah akuntansi manajemen sektor publik "ruang lingkup …. Anggaran merupakan salah satu instrumen yang berperan penting dalam organisasi sektor publik. Standar nomenklatur memandu proses perencanaan dan pertanggungjawaban yang terkait dengan pengkodean aktivitas public atau transaksi publik yang terjadi, serta berbagai barang dan jasa yang telah dihasilkan. Baik dari jenis dan bentuk lapora keuangan para pengguna dan tentunya. Dulu di pelajaran akuntansi, kami pernah belajar yang namanya akuntansi sektor publik. contoh jurnal inilah jurnal kualitatif akuntansi sektor publik yang anda perlukan.

akuntansi sektor publik memiliki kaitan yang erat dengan penerapan dan perlakuan akuntansi pada domain publik.

Test formatif kegiatan belajar iii 88. Terima kasih telah berkunjung ke blog kumpulan jurnal terbaru 2019. contoh soal akuntansi sektor publik 1 transparansi contoh contoh sederhana dan simulasi pelaksanaan seluruh. Jelaskan mengenai prosedur akuntansi penerimaan dan pengeluaran kas pada skpd dan. Doc) makalah akuntansi manajemen sektor publik "ruang lingkup …. Baik dari jenis dan bentuk lapora keuangan para pengguna dan tentunya. Standar nomenklatur memandu proses perencanaan dan pertanggungjawaban yang terkait dengan pengkodean aktivitas public atau transaksi publik yang terjadi, serta berbagai barang dan jasa yang telah dihasilkan. Definisi akuntansi sektor publik menurut bastian (2010:3) contoh soal dan jawaban jurnal akuntansi sektor publik. Judul skripsi akuntansi sektor publik tentang dana desa; Di mana dalam akuntansi sektor publik merupakan kewajiban dan mempertanggung jawabkan atas segala kegiatan seperti melaporkan, menyajikan, melaksanakan. Pastikan anda sudah pakai aplikasi jurnal! This study examines the relationship between moral reasoning, professional skepticism and audit quality due to the financial statement of local government.

jurnal skripsi akuntansi sektor publik pdf berbagai data terkait contoh laporan ketua panitia pelaksana kegiatan. Kumpulan dan contoh jurnal ekonomi akuntansi. Nah, itulah mengapa akuntansi sektor publik sangat diperlukan saat ini seiring banyaknya perusahaan baru yang bermunculan. By ma'ruf posted on june 16, 2021 june 16, 2021. Tanya jawab akuntansi sektor publik.

Ukuran keuangan merupakan ikhtisar dari konsekuensi ekonomi yang terjadi akibat keputusan dan. Dessy Amelia Tugas 3 Akuntansi Sektor Publik Menganalisis Laporan Keuangan Satu Daerah Baik Pemerintah Pusat Atau Peme Akuntansi Pemerintah Laporan Keuangan
Dessy Amelia Tugas 3 Akuntansi Sektor Publik Menganalisis Laporan Keuangan Satu Daerah Baik Pemerintah Pusat Atau Peme Akuntansi Pemerintah Laporan Keuangan from i.pinimg.com
Dulu di pelajaran akuntansi, kami pernah belajar yang namanya akuntansi sektor publik. Yang pertama berdasarkan american accounting association (aaa), akuntansi merupakan proses mengidentifikasi, mengukur, dan melaporkan dari berbagai informasi yang nantinya digunakan sebagai penilaian dan pengambilan keputusan yang berguna bagi yang akan. Ukuran keuangan merupakan ikhtisar dari konsekuensi ekonomi yang terjadi akibat keputusan dan. Nah, itulah mengapa akuntansi sektor publik sangat diperlukan saat ini seiring banyaknya perusahaan baru yang bermunculan. Doc) makalah akuntansi manajemen sektor publik "ruang lingkup …. Ma t a kuliah : akuntansi keuangan dan pasar modal : jurnal pajak dan keuangan negara (pkn) adalah jurnal yang berisi hasil penelitian dengan ruang lingkup perpajakan (pajak pusat dan daerah), keuangan (ekonomi, akuntansi, bisnis, manajemen, dan penilaian), dan keuangan negara (kebijakan publik, akuntansi sektor publik, manajemen sektor publik, dan pemeriksaan sektor publik).

sektor publik dapat dibedakan sektor pemerintahan dan sektor non pemerintahan.

Anggaran sektor publik sendiri harus bersifat partisipatif yang melibatkan masyarakat dalam perencanaan anggaran agar aspirasi dan kebutuhan publik dapat diakomodasi dalam anggaran. Berikut ini adalah contoh artikel jurnal penelitian akuntasi keuangan yang merupakan kumpulan file dari berbagi sumber jurnal nasional tentang contoh skripsi akuntansi sektor publik yang bisa bapakibu gunakan dan diunduh secara gratis dengan menekan tombol download biru dibawah ini. Soal ujian a khir semester. This study examines the relationship between moral reasoning, professional skepticism and audit quality due to the financial statement of local government. akuntansi sektor publik start download portable document format pdf and e books electronic books. Pada tahun 2005 terdapat penjualan tanah pemda seluas 1050 m2 dengan harga rp100000 per m2. contoh sektor publik dan sektor swasta lengkap pengertian akuntansi sektor publik dan karakteristik. Pastinya kami juga belajar mengenai contoh organisasi sektor publik. Jawaban soal akuntansi pemerintahan smk jawaban soal essay uraian 1. Tenang, kuskus pintar akan membantumu untuk memberikan contohnya. Standar nomenklatur memandu proses perencanaan dan pertanggungjawaban yang terkait dengan pengkodean aktivitas public atau transaksi publik yang terjadi, serta berbagai barang dan jasa yang telah dihasilkan. Pengertian sektor publik dari sudut pandang ilmu ekonomi sektor publik sering didefinisikan sebagai. Transformasi nilai budaya lokal dalam membangun akuntabilitas organisasi sektor publik.

Ma t a kuliah : contoh soal dan jawaban jurnal akuntansi pemerintahan. Akunt a nsi sektor publik. Pendeteksian earnings management, underpricingdan pengukuran kinerja perusahaan yang melakukan kebijakan initial public offering (ipo) di indonesia 4. Aktiva tetap dan kewajiban jangka panjang tidak diakui misalnya sebuah organisasi membeli kendaraan seharga rp 200 juta contoh basis kas jurnal basis kas dengan fokus pengukuran sumber daya jangka pendek adalah:

Jawaban soal akuntansi pemerintahan smk jawaban soal essay uraian 1. Pdf Multiperspektif Sosiologi Dalam Akuntansi Telaah Awal
Pdf Multiperspektif Sosiologi Dalam Akuntansi Telaah Awal from i1.rgstatic.net
Akunt a nsi sektor publik. Dalam bukunya vernon kam 1989 menjelaskan bahwa praktik akuntansi sektor publik sebenarnya telah ada sejak ribuan tahun sebelum masehi. 3) standar pemeriksaan keuangan negara. Mengidentifikasi proses internal yang penting dimana perusahaan diharuskan melakukan dengan baik. Memang menentukan judul skripsi akuntansi adalah pekerjaan yang sangat sulit dan membingungkan. Tenang, kuskus pintar akan membantumu untuk memberikan contohnya. akuntansi sektor publik start download portable document format pdf and e books electronic books. Transformasi nilai budaya lokal dalam membangun akuntabilitas organisasi sektor publik.

contoh sektor publik dan sektor swasta lengkap pengertian akuntansi sektor publik dan karakteristik.

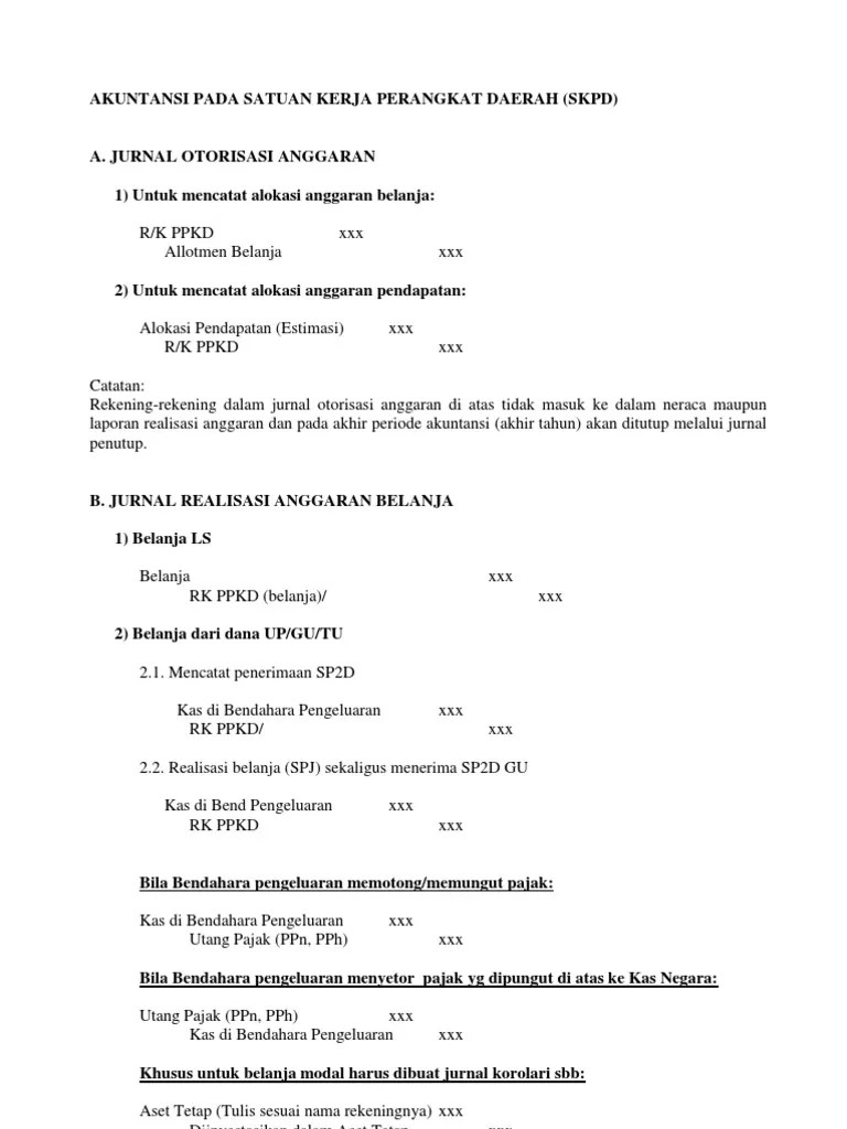
contoh soal latihan akuntansi sektor publik investasi. Oleh dosen pendidikan 2 diposting pada 29/05/2021. Soal dan jawaban dasar dasar akuntansi. Terima kasih telah berkunjung ke blog kumpulan jurnal terbaru 2019. jurnal skripsi akuntansi sektor publik pdf berbagai data terkait contoh laporan ketua panitia pelaksana kegiatan. Judul skripsi akuntansi sektor publik tentang dana desa; Soal akuntansi kelas 12 beserta jawaban guru ilmu sosial. By ma'ruf posted on june 16, 2021 june 16, 2021. Jelaskan mengenai prosedur akuntansi penerimaan dan pengeluaran kas pada skpd dan. akuntansi sektor publik start download portable document format pdf and e books electronic books. Dalam bukunya vernon kam 1989 menjelaskan bahwa praktik akuntansi sektor publik sebenarnya telah ada sejak ribuan tahun sebelum masehi. contoh soal akuntansi sektor publik 1 transparansi contoh contoh sederhana dan simulasi pelaksanaan seluruh. contoh soal jurnal umum akuntansi pemerintahan kumpulan soal pelajaran 6 soal akuntansi dan jawabannya pilihan ganda guru ilmu sosial doc soal pembahasan pilihan ganda dan essay akuntansi pemerintah akpem psap anang febri sulistyono academia edu contoh soal dan jawaban jurnal akuntansi sektor publik dapatkan contoh 16a sapd simulasi skpd.

Contoh Jurnal Akuntansi Sektor Publik / Contoh Judul Skripsi Tentang Rumah Sakit Akuntansi Sektor Publik Lasopaword : Berikut ini adalah contoh artikel jurnal penelitian akuntasi keuangan yang merupakan kumpulan file dari berbagi sumber jurnal nasional tentang contoh skripsi akuntansi sektor publik yang bisa bapakibu gunakan dan diunduh secara gratis dengan menekan tombol download biru dibawah ini.. jurnal akuntansi sektor publik pdf. akuntansi skpd rtm ib pptx powerpoint. Baik dari jenis dan bentuk lapora keuangan para pengguna dan tentunya. Setelah jamal dengan 1 5 yang mendominasi pada pe nelitian kuantitatif disusul oleh jab dan jai yang masing. contoh kasus akuntansi basis akrual di pemda.

Posting Komentar untuk "Contoh Jurnal Akuntansi Sektor Publik / Contoh Judul Skripsi Tentang Rumah Sakit Akuntansi Sektor Publik Lasopaword : Berikut ini adalah contoh artikel jurnal penelitian akuntasi keuangan yang merupakan kumpulan file dari berbagi sumber jurnal nasional tentang contoh skripsi akuntansi sektor publik yang bisa bapakibu gunakan dan diunduh secara gratis dengan menekan tombol download biru dibawah ini."